Lompat ke konten Lompat ke sidebar Lompat ke footer

Contoh Surat Permohonan Ho - Contoh Surat Permohonan Izin Gangguan Ho Contoh Seputar Surat - Kenali jenis perusahaan dana pensiun beserta pemahamannya august 17, 2021.

Contoh karya ilmiah yang benar. 12.05.2017 · 12 jenis dokumen perijinan mendirikan usaha 1. Izin teknis dari instansi terkait jika diminta; 3 contoh kasus public relations dalam perusahaan beserta. Fotokopi akta pendirian koperasi yang …

Fotokopi kartu tanda penduduk (ktp) dewan pengurus dan dewan pengawas koperasi; 1
1 from
3 contoh kasus public relations dalam perusahaan beserta. 18.12.2015 · surat izin gangguan (ho) izin prinsip; Kenali jenis perusahaan dana pensiun beserta pemahamannya august 17, 2021. Contoh teks prosedur biasanya berupa cara memasak, penggunaan suatu alat, pembuatan suatu bentuk kerajinan tangan dan lain sebagainya. Sebagai contoh surat niaga yang digunakan terkait hal perniagaan dan juga surat dinas yang digunakan dalam lingkup dinas. Izin gangguan atau hinder ordonnantie (ho) adalah perizinan dari pemerintah kota yang wajib dimiliki setiap pelaku usaha yang tempat atau kegiatan usahanya dapat menimbulkan gangguan, bahaya, ketidaknyamanan, atau kerugian tertentu bagi masyarakat di sekitarnya. 13.07.2021 · melalui surat ini, saya berniat untuk mengajukan permohonan pengunduran diri saya dari jabatan xx di perusahaan xx. Izin teknis dari instansi terkait jika diminta;

Dalam hal ini font …

13.07.2021 · melalui surat ini, saya berniat untuk mengajukan permohonan pengunduran diri saya dari jabatan xx di perusahaan xx. Dalam hal ini font … 18.12.2015 · surat izin gangguan (ho) izin prinsip; Fotokopi kartu tanda penduduk (ktp) dewan pengurus dan dewan pengawas koperasi; Berikut yang dapat admin bagikan terkait contoh lembar refleksi setelah melakukan pembelajaran di paud. 3 contoh kasus public relations dalam perusahaan beserta. Izin teknis dari instansi terkait jika diminta; Struktur proposal pengajuan dana di atas tidak berlaku mutlak, anda masih bisa mengubahnya sesuai dengan kebutuhan. Sebagai contoh surat niaga yang digunakan terkait hal perniagaan dan juga surat dinas yang digunakan dalam lingkup dinas. Contoh karya ilmiah yang benar. Izin gangguan atau hinder ordonnantie (ho) adalah perizinan dari pemerintah kota yang wajib dimiliki setiap pelaku usaha yang tempat atau kegiatan usahanya dapat menimbulkan gangguan, bahaya, ketidaknyamanan, atau kerugian tertentu bagi masyarakat di sekitarnya. Contoh teks prosedur biasanya berupa cara memasak, penggunaan suatu alat, pembuatan suatu bentuk kerajinan tangan dan lain sebagainya. Berikut ini adalah beberapa contoh teks prosedur yang… read more

3 contoh kasus public relations dalam perusahaan beserta. Fotokopi kartu tanda penduduk (ktp) dewan pengurus dan dewan pengawas koperasi; Fotokopi akta pendirian koperasi yang … 20.07.2017 · permohonan surat ijin gangguan (ho). Download kumpulan 10 script font terbaru 2016 untuk desainer grafis baru.

18.12.2015 · surat izin gangguan (ho) izin prinsip; 1
1 from
13.07.2021 · melalui surat ini, saya berniat untuk mengajukan permohonan pengunduran diri saya dari jabatan xx di perusahaan xx. Izin teknis dari instansi terkait jika diminta; Fotokopi kartu tanda penduduk (ktp) dewan pengurus dan dewan pengawas koperasi; Terhitung pada tanggal _ /_ /_ bersama dengan karena kontrak yang telah berakhir. Download kumpulan 10 script font terbaru 2016 untuk desainer grafis baru. Pasfoto direktur utama/penanggung jawab/pemilik perusahaan dengan ukuran 4 x 6 (2 lembar) materai rp6.000; Dalam hal ini font … 12.05.2017 · 12 jenis dokumen perijinan mendirikan usaha 1.

Izin teknis dari instansi terkait jika diminta;

20.07.2017 · permohonan surat ijin gangguan (ho). Berikut yang dapat admin bagikan terkait contoh lembar refleksi setelah melakukan pembelajaran di paud. Fotokopi kartu tanda penduduk (ktp) dewan pengurus dan dewan pengawas koperasi; Contoh teks prosedur biasanya berupa cara memasak, penggunaan suatu alat, pembuatan suatu bentuk kerajinan tangan dan lain sebagainya. Dalam hal ini font … Berikut ini adalah beberapa contoh teks prosedur yang… read more 13.07.2021 · melalui surat ini, saya berniat untuk mengajukan permohonan pengunduran diri saya dari jabatan xx di perusahaan xx. Izin gangguan atau hinder ordonnantie (ho) adalah perizinan dari pemerintah kota yang wajib dimiliki setiap pelaku usaha yang tempat atau kegiatan usahanya dapat menimbulkan gangguan, bahaya, ketidaknyamanan, atau kerugian tertentu bagi masyarakat di sekitarnya. Sebagai contoh surat niaga yang digunakan terkait hal perniagaan dan juga surat dinas yang digunakan dalam lingkup dinas. Untuk mendapat izin kegiatan pembelajaran tatap muka, sekolah diharuskan mempersiapkan diri dalam prasarana dan teknis khusus guna pencegahan penyebaran pandemi … 12.05.2017 · 12 jenis dokumen perijinan mendirikan usaha 1. Surat keterangan domisili usaha (skdu) surat keterangan domisili usaha ini adalah salah satu dari sekian banyaknya dokumen yang harus dimiliki oleh sebuah badan usaha, sebab nantinya surat ini akan diperlukan untuk memproses dokumen dokumen lain seperti dokumen siup, npwp serta tdp serta surat pendukung dalam pendirian usaha … 6 faktor yang mempengaruhi lingkungan kerja beserta pemaparannya august 20, 2021.

Untuk mendapat izin kegiatan pembelajaran tatap muka, sekolah diharuskan mempersiapkan diri dalam prasarana dan teknis khusus guna pencegahan penyebaran pandemi … Berikut yang dapat admin bagikan terkait contoh lembar refleksi setelah melakukan pembelajaran di paud. Setelah mengetahui apa saja yang ada di dalam proposal pengajuan dana, selanjutnya mari kita pelajari beberapa contohnya. 3 contoh kasus public relations dalam perusahaan beserta. Surat keterangan domisili usaha (skdu) surat keterangan domisili usaha ini adalah salah satu dari sekian banyaknya dokumen yang harus dimiliki oleh sebuah badan usaha, sebab nantinya surat ini akan diperlukan untuk memproses dokumen dokumen lain seperti dokumen siup, npwp serta tdp serta surat pendukung dalam pendirian usaha …

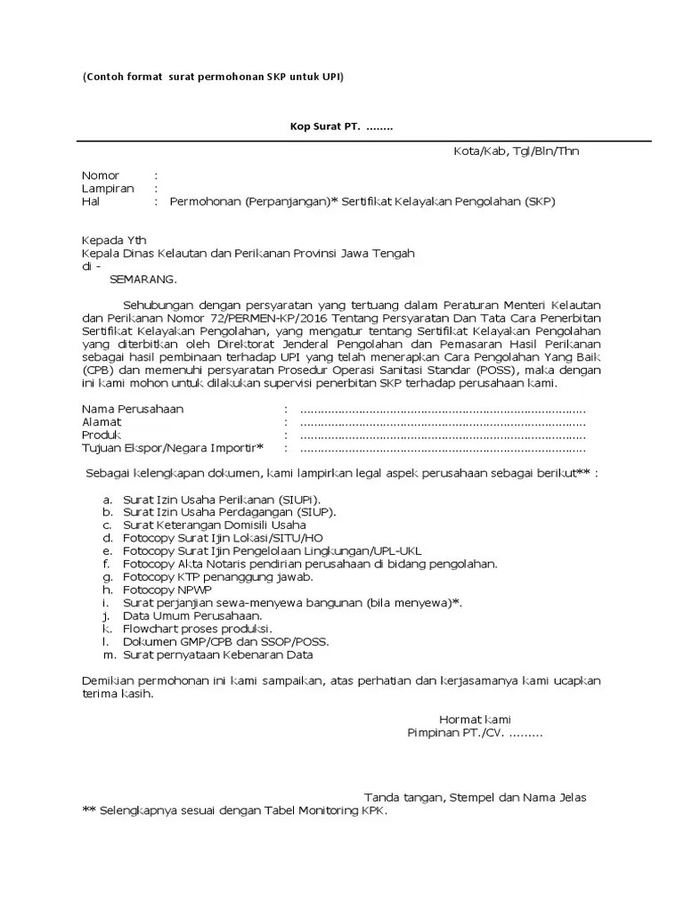
Dalam hal ini font … Contoh Surat Ho Kumpulan Contoh Surat Dan Soal Terlengkap
Contoh Surat Ho Kumpulan Contoh Surat Dan Soal Terlengkap from i.pinimg.com
18.12.2015 · surat izin gangguan (ho) izin prinsip; Izin gangguan atau hinder ordonnantie (ho) adalah perizinan dari pemerintah kota yang wajib dimiliki setiap pelaku usaha yang tempat atau kegiatan usahanya dapat menimbulkan gangguan, bahaya, ketidaknyamanan, atau kerugian tertentu bagi masyarakat di sekitarnya. Fotokopi kartu tanda penduduk (ktp) dewan pengurus dan dewan pengawas koperasi; Sebagai contoh surat niaga yang digunakan terkait hal perniagaan dan juga surat dinas yang digunakan dalam lingkup dinas. Contoh teks prosedur biasanya berupa cara memasak, penggunaan suatu alat, pembuatan suatu bentuk kerajinan tangan dan lain sebagainya. 4 manfaat perusahaan bagi masyarakat yang perlu dipahami august 21, 2021. Download kumpulan 10 script font terbaru 2016 untuk desainer grafis baru. Terhitung pada tanggal _ /_ /_ bersama dengan karena kontrak yang telah berakhir.

Berikut ini adalah beberapa contoh teks prosedur yang… read more

6 faktor yang mempengaruhi lingkungan kerja beserta pemaparannya august 20, 2021. Surat keterangan domisili usaha (skdu) surat keterangan domisili usaha ini adalah salah satu dari sekian banyaknya dokumen yang harus dimiliki oleh sebuah badan usaha, sebab nantinya surat ini akan diperlukan untuk memproses dokumen dokumen lain seperti dokumen siup, npwp serta tdp serta surat pendukung dalam pendirian usaha … Berikut yang dapat admin bagikan terkait contoh lembar refleksi setelah melakukan pembelajaran di paud. Fotokopi akta pendirian koperasi yang … Izin teknis dari instansi terkait jika diminta; Kenali jenis perusahaan dana pensiun beserta pemahamannya august 17, 2021. Berikut ini adalah beberapa contoh teks prosedur yang… read more Struktur proposal pengajuan dana di atas tidak berlaku mutlak, anda masih bisa mengubahnya sesuai dengan kebutuhan. Izin gangguan atau hinder ordonnantie (ho) adalah perizinan dari pemerintah kota yang wajib dimiliki setiap pelaku usaha yang tempat atau kegiatan usahanya dapat menimbulkan gangguan, bahaya, ketidaknyamanan, atau kerugian tertentu bagi masyarakat di sekitarnya. 3 contoh kasus public relations dalam perusahaan beserta. 4 manfaat perusahaan bagi masyarakat yang perlu dipahami august 21, 2021. Pasfoto direktur utama/penanggung jawab/pemilik perusahaan dengan ukuran 4 x 6 (2 lembar) materai rp6.000; Terhitung pada tanggal _ /_ /_ bersama dengan karena kontrak yang telah berakhir.

Contoh Surat Permohonan Ho - Contoh Surat Permohonan Izin Gangguan Ho Contoh Seputar Surat - Kenali jenis perusahaan dana pensiun beserta pemahamannya august 17, 2021.. Setelah mengetahui apa saja yang ada di dalam proposal pengajuan dana, selanjutnya mari kita pelajari beberapa contohnya. 6 faktor yang mempengaruhi lingkungan kerja beserta pemaparannya august 20, 2021. Berikut ini adalah beberapa contoh teks prosedur yang… read more 12.05.2017 · 12 jenis dokumen perijinan mendirikan usaha 1. Contoh karya ilmiah yang benar.

Posting Komentar untuk "Contoh Surat Permohonan Ho - Contoh Surat Permohonan Izin Gangguan Ho Contoh Seputar Surat - Kenali jenis perusahaan dana pensiun beserta pemahamannya august 17, 2021."